ターボ機械専門の流体解析ソフトTCFDによる流体解析:マニホールドの解析例

= ターボ機械解析ソフト専門店 =
他店より1円でも高い場合はご連絡下さい。善処します!

TCFDによるターボ機械の流体解析:マニホールドの解析例

この例では、TCFDを使用したマニホールドの流体解析を実行するためのスムーズなワークフローを示しています 。


<< 前のページに戻る

TCFDの自動化されたワークフロー

CFD SUPPORT社は、次世代のCFD(流体解析)シミュレーションソフトTCFDを発表しました。 TCFDは、ターボ機械分野の流体解析に特化した流体解析ソフトで、この分野のCFDシミュレーションの生産性を飛躍的に向上させます。 TCFDは、商用コードの利点(プロフェッショナルなサポート、十分にテストされた、業界向けの特化、堅牢で、正確で、自動化された、GUIなど)と オープンソースの利点(永続的、無制限のユーザ、ジョブ、コア、カスタマイズ可能な...)をうまく融合させた流体解析ソフトです。



今回は「マニホールドの解析例」についてですが、TCFDの操作は完全に自動化されており、データ入力、新しいケースの書き出し、メッシュの作成、ケースのセットアップ、 ケースのシミュレーション、結果の評価、結果レポート作成など、すべてのワークフローを1つのコマンドで実行できます。 データ入出力は、GUIとバッチモードの両方が使用できます。 TCFDは、主にエンジニアの実際の付加価値の高い仕事を支援することに重点を置いています。

マニホールドの解析例の形状入力データ

TCFDは、stlファイル形式の表面モデルデータをロードできます。 その他には、外部メッシュをOpenFOAMメッシュ形式、 MSHメッシュ形式(Fluentメッシュ形式)を読み込むことができます。 このCFD手法では、モデルが特定の数の領域に分割されていることを意味するマルチコンポーネントアプローチが採用されています。 各領域はそれぞれメッシュを有することができ、個々のメッシュは、インターフェースを介して作用します。 下図は、本解析例(マニホールドの解析例)で使用した形状データです。



グラフィカル・インタフェース

TCFDのグラフィカルインターフェイスはParaViewに基づいています。 ほとんどのユーザーは、グラフィカルインターフェイスを使用し、 コマンドラインを使用してクラスタを実行することを選択します。 ワークフローは非常に柔軟性があり、コマンドラインとGUIの決定は常にユーザーが行います。



容易なメッシュ感度テスト

実際には、境界層のない粗いメッシュ (CPU time: 4 core*hours/single point) は、 境界層を持つ細かいメッシュ(CPU time: 20 core*hour/point)と同じ結果を与えることができます。 最終的に、粗いメッシュの効果は境界層の欠如を排除することができます。 完全自動化されたワークフローでは、実際のデータを呼び出すための多くの感度テストを簡単に行うことができます。 下図は、本解析例(マニホールドの解析例)で使用したメッシュです。



コンポーネントグラフ

TCFDでシミュレートされたプロジェクトには、コンポーネントグラフがあります。 コンポーネントグラフは、コンポーネントトポロジの構成方法を示します。 インレット、アウトレット、コンポーネントがどのようにインターフェイスを介して接続されているか等です。 下図は、本解析例(マニホールドの解析例)のコンポーネントグラフです。



本解析例(マニホールドの解析例)の設定一覧

圧縮流体モデル
定常流モデル
媒体:熱風
入口温度:T = 543 [K]
粘度:μ= 1.831e-5 [Pa・s]
質量流量:0.00468 [kg/s]
インタフェース:なし
乱流モデル:k-ωSST
メッシュ:snappyHexMesh、hexadominant
メッシュセル:345250
コンポーネント数:1 [-]
CPU時間:3 [core.hours]



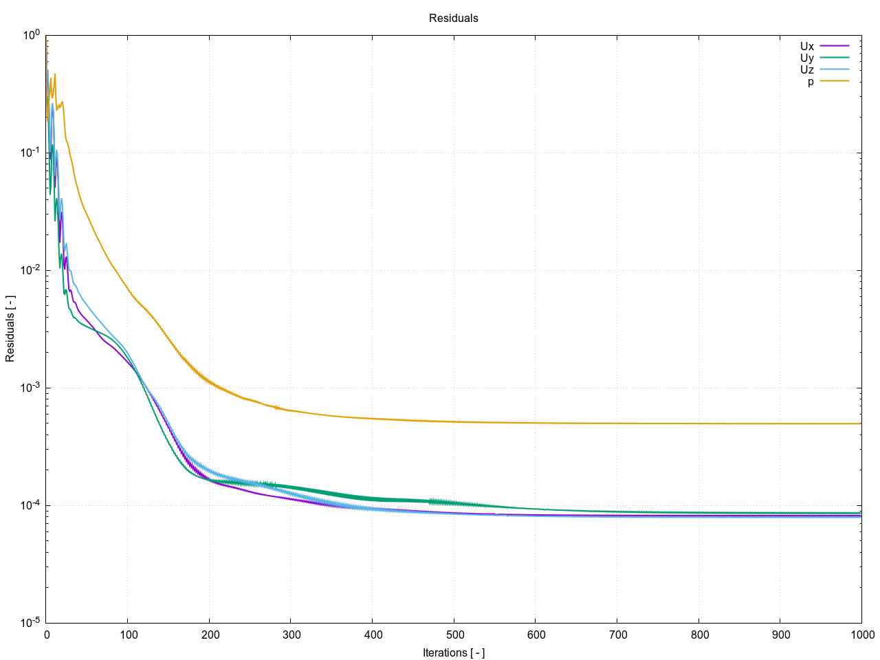
CFD(流体解析)シミュレーションの実行

シミュレーションは、任意の数の並列プロセッサで実行できます。 シミュレーションが開始された直後に、ユーザーはHTMLレポートで重要なすべての量の進捗状況、 すなわち流量、残差、効率、トルク、圧力差などを追跡することができます。 これらのランタイム関数は、ユーザーにシミュレーション収束の貴重な情報と、 予想される終了前にシミュレーションを停止する可用性を提供します。


このマニホールドのチュートリアルは、入口の過渡的な境界条件のために特別です。質量流量および温度は定期的に変化します。


TCFDで実行されるすべてのシミュレーションは、html形式のレポートを持っています →  マニホールドの自動レポート例



以下の動画は、本解析例(マニホールドの解析例)の計算結果をまとめたものです。



<< 前のページに戻る



↑ PAGE TOP